Задачей ИП является не просто контроль изменений физических параметров окружающей среды, вызванных пожаром, а инициирование пуска всех систем автоматической противопожарной защиты (далее АПЗ). И если порядок действий приемно-контрольного прибора достаточно жестко регламентирован нормами, то ИП анализирует полученные от своих чувствительных элементов данные на основании собственного уникального алгоритма. Поэтому наиболее сложная часть процесса принятия решения о срабатывании АПЗ находится в ведении ИП.
Современные нормы ставят перед проектировщиком очень сложные задачи, так, например, согласно п. 6.1.1 СП 484.1311500.2020 [1] СПС должна проектироваться с целью своевременного и, одновременно, достоверного обнаружения пожара. Достоверность можно охарактеризовать отсутствием или минимальным количеством ложных срабатываний (далее ЛС) в пределах требований ГОСТ Р 59638-2021 [2]. Согласно п. 6.1.2 [1] своевременность обнаружения обеспечивается выбором типа и класса ИП, а также размещением ИП в соответствии с нормами. Согласно п. 6.1.3 [1] достоверность обнаружения должна достигается выбором типов ИП, алгоритма принятия решения о пожаре и защитой от ложных срабатываний. В подразделе 6.5 [1], посвященном защите от ложных срабатываний, преимущественно речь также идет о выборе типа ИП. Таким образом, для проектировщика остается совсем немного способов обеспечения оптимального сочетания своевременности и достоверности.
Поэтому в рамках совершенствования извещателей пламени (далее ИПП) «ГЕЛИОС-3 ИК» и «ГЕЛИОС-ИК/УФ» особое внимание было уделено следующим аспектам:
- увеличение предельной дальность обнаружения очага пожара («Гелиос-3 ИК» - 50 м; для «Гелиос-ИК/УФ» - 40 м);
- возможность плавно регулировать функциональные параметры ИПП, в том числе, на стадии эксплуатации (рис.1);
- повышение устойчивости к ЛС, в том числе, режим повышенной помехозащищенности;
- создание интуитивно понятного интерфейса конфигуратора ИПП.

| Рис.1 – Блок настроек конфигуратора ИПП ГЕЛИОС-3 ИК |
Среди специалистов одним из ключевых показателей эффективности ИПП принято считать предельную дальность обнаружения тестовых очагов пожара. В некоторой степени это справедливо. Но необходимо помнить, что бóльшая дальность обнаружения повышает риск ЛС из-за схожести сигнала от горения очага на максимальном расстоянии с некоторыми видами других излучений на близком расстоянии. Кроме того, для промышленных зданий характерна загроможденность оборудованием и строительными конструкциями, которые создают преграды для распространения излучения от возможного очага пожара до чувствительного элемента извещателя. Поэтому при разработке ИПП целесообразно соблюдение баланса между дальностью и защитой от ЛС.
Одним из параметров, для которого конфигуратором ИПП предусмотрена гибкая настройка, является уровень чувствительности. Выраженная в процентах чувствительность привязана к дальности обнаружения тестовых очагов ТП-5 и ТП-6 согласно ГОСТ 34698-2020 [3]. И если увеличение дальности обнаружения пожара повышает риск ЛС, то чрезмерное загрубление может привести к тому, что срабатывание не произойдет при возникновении очага на предусмотренном проектом расстоянии. Поэтому для ИПП была предусмотрена возможность плавного изменения данного параметра. Проектировщик, оставляя при проектировании запас предельной дальности обнаружения 20-40 %, обеспечивает возможность при эксплуатации дополнительно снизить чувствительность для уменьшения вероятности ЛС (рис.2).

| Рис.2 – Схема зоны контроля ИПП |
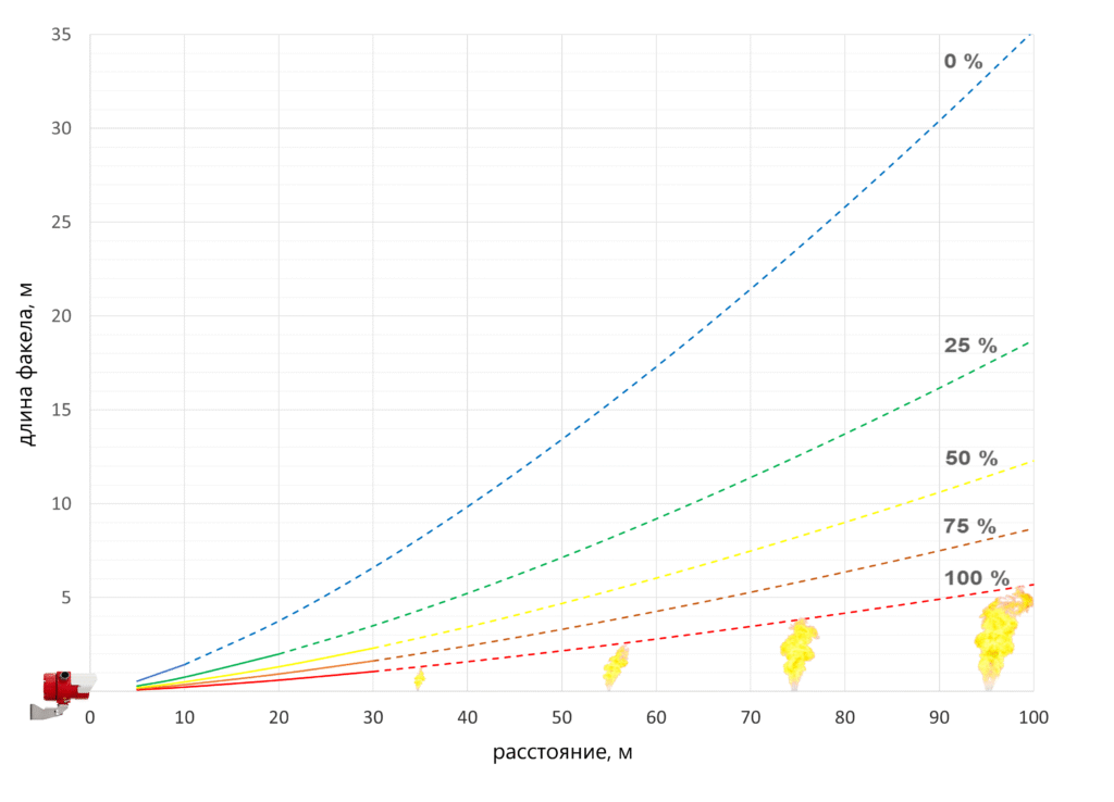
При разработке проектных решений специалисты нередко сталкиваются с необходимостью защиты наружных технологических установок, в которых обращаются углеводородные газы, в то время, как по методике [3] класс чувствительности и дальность обнаружения пожара определяется для тестовых очагов, в качестве которых применяются легковоспламеняющиеся жидкости. Для пополнения данных об эффективности обнаружения факельного горения был проведен ряд испытаний с горением газообразного пропана, на основании которых составлена диаграмма по определению высоты факела, который может быть обнаружен в зависимости от уровня чувствительности (рис.3).

| Рис.3 – Минимальная длина факела, который может быть обнаружен в зависимости от настроенного чувствительности и расстояния до ИПП «ГЕЛИОС-3 ИК» сплошная линия – экспериментальные данные штрихпунктирная линия – результаты математического моделирования |
Безусловно, размещение ИПП следует производить таким образом, чтобы максимально снизить вероятность попадания прямого или отраженного излучения от факельных установок. Согласно требованиями СП 4.13130.2013 [4] противопожарные расстояния от резервуаров сжиженных углеводородных газов, размещаемых на складе организации, должны быть в диапазоне от 100 до 200 м. На территории нефтеперерабатывающих и нефтехимических предприятий расстояние от технологических установок категорий Ан, Бн, которые могут защищаться с помощью ИПП, до факельных установок для сжигания избыточных газов, сбрасываемых из технологического оборудования, должно быть не менее 100 м. На диаграмме видно, что можно подобрать такой уровень чувствительности, при котором пламя факельной установки, расположенной на большом расстоянии, не будет вызывать срабатывания, при этом ИПП будет реагировать на факел меньшего размера в пределах зоны контроля на близком расстоянии. Например, при чувствительности 75 % на расстоянии 100 м ИПП не будет реагировать на факел длиной 7 м, но обнаружит факел длиной 0,8 м на расстоянии 20 м. Необходимо принимать во внимание, что длина факела от факельных установок может меняться в зависимости от множества факторов и учесть этот параметр с высокой степенью точности на стадии проектирования автоматической противопожарной защиты становится для проектировщика невыполнимой задачей, поэтому в ИПП предусмотрена возможность индивидуальной подстройки непосредственно на объекте защиты.
Результаты натурных испытаний показали, что еще одним способом снижения вероятности ЛС является увеличение времени анализа сигнала. Поэтому дополнительно была предусмотрена плавная регулировка времени от 5 до 20 с. Указанный диапазон находится в пределах максимально допустимого времени срабатывания ИПП согласно [3].
Наличие двух регулируемых параметров, помимо специального режима повышенной помехозащищенности, предполагает возможность выбора или их комбинирования для снижения вероятности ЛС. Для наглядности, каким образом выбранные параметры влияют на уровень защиты от помех, в конфигураторе ИПП «ГЕЛИОС-3 ИК» и «ГЕЛИОС-ИК/УФ» был предусмотрен индикатор помехозащищенности в виде линейной шкалы. Условные единицы представляют собой интерпретацию вероятности ложного срабатывания, полученной на основании многочисленных натурных испытаний по воздействию на ИПП излучений, схожих с углеводородным пламенем. На рис.4 приведена трехмерная диаграмма, которая отображает уровень защиты от ЛС (до включения режима повышенной помехозащищенности) с учетом выбранной чувствительности и времени анализа сигнала.

| Рис.4 – Данные индикатора уровня защиты от ЛС для ИПП ГЕЛИОС-3 ИК |
Долгий период эталоном качества считалось оборудование зарубежных брендов. Однако отечественные разработчики, представители научной и инженерной школ справляются с подобными задачами на высоком уровне, применяя собственные подходы и технические решения.
Авторы статьи:
А.А. Корнилов, к.т.н., доц., АО «Эридан»
А.А. Бородин, к.т.н., доц., АО «Эридан»
ЛИТЕРАТУРА
- СП 484.1311500.2020. Системы противопожарной защиты. Системы пожарной сигнализации и автоматизация систем противопожарной защиты. Нормы и правила проектирования // Кодекс: электрон. Фонд правовых и норматив.-техн. док. URL: https://docs.cntd.ru/ document/566249686 (дата обращения: 01.09.2025).
- ГОСТ 59638-2021. Системы пожарной сигнализации. Руководство по проектированию, монтажу, техническому обслуживанию и ремонту. Методы испытаний на работоспособность // Кодекс: электрон. фонд правовых и норматив.-техн. док. URL: https://docs.cntd.ru/ document/1200180685 (дата обращения: 01.09.2025).
- ГОСТ 34698-2020. Извещатели пожарные. Общие технические требования. Методы испытаний // Кодекс: электрон. фонд правовых и норматив.-техн. док. URL: https://docs.cntd.ru/document/1200180194 (дата обращения: 01.09.2025).
- СП 4.13130.2013. Системы противопожарной защиты. Ограничение распространения пожара на объектах защиты. Требования к объемно-планировочным и конструктивным решениям // Кодекс: электрон. Фонд правовых и норматив.-техн. док. URL: https://docs.cntd.ru/document/1200101593 дата обращения: 01.09.2025).
Для получения дополнительной информации обращайтесь в отдел продаж:
e-mail: market@eridan-zao.ru
тел.: 8 (800) 333-53-07